
Алгоритмы у истоков
Первый алгоритм просчета лучей был создан Артуром Аппелем в 1968 году. Этот нерекурсивный алгоритм использовал трассировку лучей для определения видимости, рассчитывая расстояние до ближайшей поверхности. Сейчас такой алгоритм называют «ray casting».

Appel Arthur (1968), Some techniques for shading machine renderings of solids
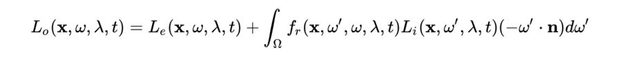
Основанное на законе сохранения энергии, в 1986 году появляется уравнение рендеринга, разработанное Дэвидом Иммелом и Джеймсом Каджия. Оно работает с собственным и отраженным излучением в сцене и рассчитывает свет на их основе, а также представляет иерархический семплинг для компьютерных операций.

Kajiya, James T. (1986), The rendering equation

Kajiya, James T. (1986), The rendering equation
Первые шаги
Попытки создать прозрачный материал произошли спустя почти 20 лет после выхода первого CGI ролика в 1958 году.
Vertigo (1958), Alfred Hitchcock
Они привели к созданию ролика Compleat Angler (1979), в котором демонстрируется первый алгоритм трассировки лучей.
Compleat Angler (1979), Turner Whitted, Bell Laboratories
Compleat Angler (1979), Turner Whitted, Bell Laboratories
В том же году алгоритм уже использовался в некоторых заставках логотипов
Glass logo
Render of digital kitchenware
Появление в анимации
Стеклянные детали далее начали встречаться в короткометражных мультфильмах
Anniversary (1989)
Anniversary (1989)
Разнообразие прозрачных материалов можно заметить в мультфильме «Knick Knack» 1989 года. Объекты в зависимости от роли имеют различный ограниченный набор физических качеств. Например, линзы очков на персонажах не просвечивают насквозь и не отражают окружающие предметы, а лишь блестят на свету.
«Knick Knack» (1989)
Снежный шар выступает как один из ключевых объектов в мультфильме. Поверхность не блестит, свойства стекла передаются лишь прозрачностью и изменением тона по краям полусферы.
«Knick Knack» (1989)
Самым технически требовательным является аквариум из концовки мультфильма: одним из его физических свойств является преломление среды (однако и оно не совсем точное: объекты внутри аквариума остаются «ровными», тогда как стена и все, что находится за массой объекта, искажается).
«Knick Knack» (1989)
Стеклянные элементы фигурируют в дизайнах персонажей первого полнометражного компьютерно-анимационного фильма «История игрушек».
Toy Story (1995)
Можно заметить, что отражения на роботе, шлеме и стеклах машин одни и те же. Они запечены для экономии вычислительных ресурсов в силу технических ограничений того времени.
Toy Story (1995)
В 1999 году вышла демонстрация освещения, основанного на изображении (HDRI), в которой так же визуализировалось, как отрабатывает 3D стекло.
Fiat Lux (1999)
Эта технология была разработана Грегом Уордом еще в 1985 году, но широко не использовалась из-за ограниченных вычислительных мощностей.
Fiat Lux (1999)
В 2001 году появились первые тесты технологии SSS (subsurface scattering, подпространственного рассеивания).
Без SSS молоко выглядит, как плотная краска, а масштаб мраморной статуи визуально не считывается
Rendering Translucent Materials (2001)
Rendering Translucent Materials (2001)
Данный рендер сочетает в себе оба рассматриваемых материала: прозрачное стекло и рассеивающее свет молоко.
Cyberpunk 2077 (2020), CD Projekt RED, Virtuos
На данный момент, технология подпространственного рассеивания уже доступна в realtime в играх, например Cyberpunk 2077.